Image Details

Choose export citation format:

Stellar and Orbital Characterization of Three Low Mass M Dwarf Binary Stars with Dynamical Spectroscopy from the Habitable Zone Planet Finder

  • Authors: Suhani Surana, Chad F. Bender, Caleb I. Cañas, Daniel M. Krolikowski, William D. Cochran, Mark Everett, Arvind F. Gupta, Shubham Kanodia, Suvrath Mahadevan, Andrew Monson, Joe P. Ninan, Leonardo A. Paredes, Paul Robertson, Arpita Roy, Christian Schwab, Gudmundur Stefansson

Suhani Surana et al 2026 The Astronomical Journal 171 .

  • Provider: AAS Journals

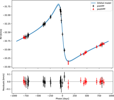
Caption: Figure 7.

Same as Figure 6, but for NLTT 43564.

Other Images in This Article
Copyright and Terms & Conditions

Additional terms of reuse