Image Details

Choose export citation format:

Stellar and Orbital Characterization of Three Low Mass M Dwarf Binary Stars with Dynamical Spectroscopy from the Habitable Zone Planet Finder

  • Authors: Suhani Surana, Chad F. Bender, Caleb I. Cañas, Daniel M. Krolikowski, William D. Cochran, Mark Everett, Arvind F. Gupta, Shubham Kanodia, Suvrath Mahadevan, Andrew Monson, Joe P. Ninan, Leonardo A. Paredes, Paul Robertson, Arpita Roy, Christian Schwab, Gudmundur Stefansson

Suhani Surana et al 2026 The Astronomical Journal 171 .

  • Provider: AAS Journals

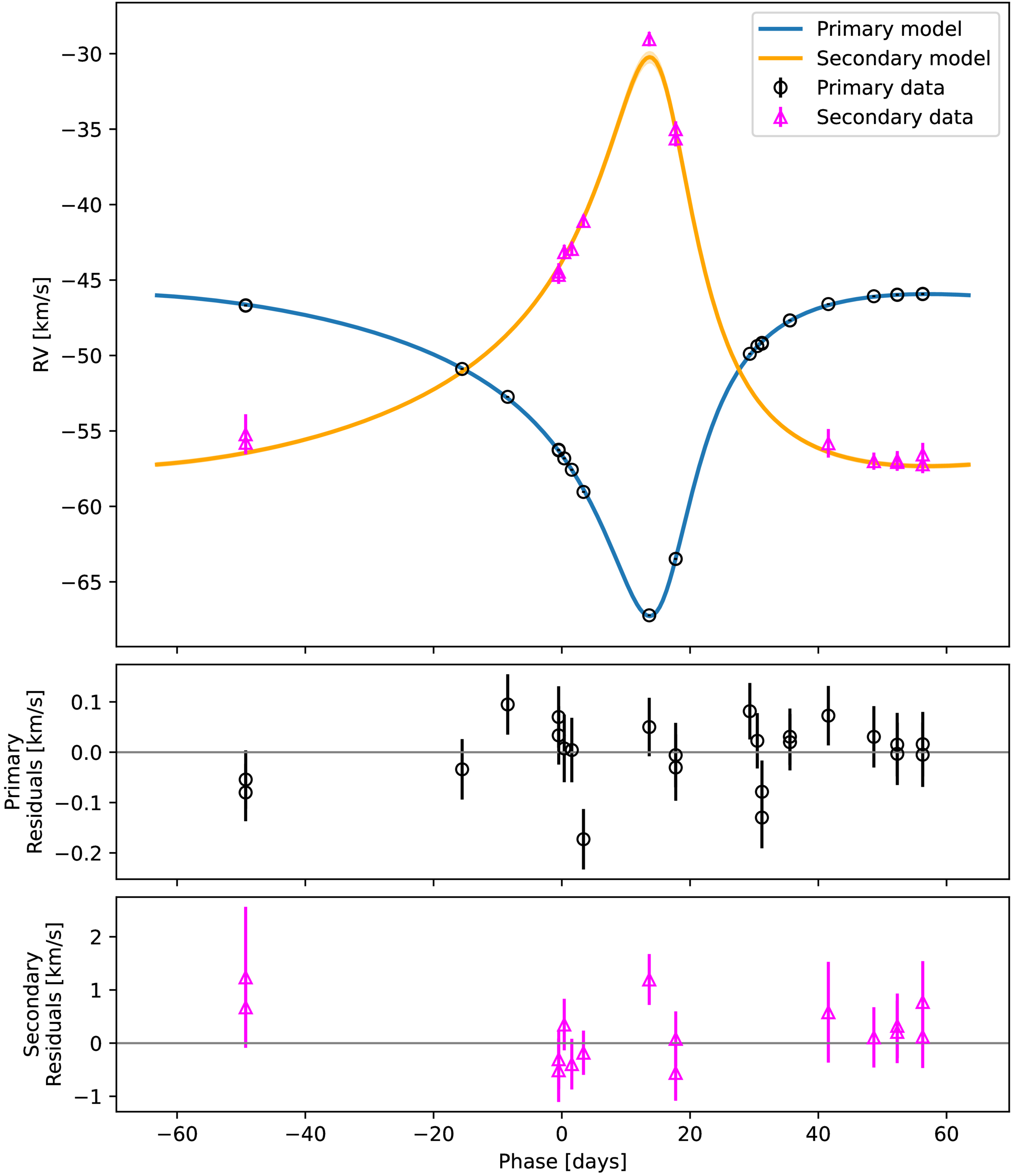
Caption: Figure 4.

Radial velocity versus orbital phase for LSPM J0515+ 5911. Upper panel: open black circles and open magenta triangles show our HPF primary and secondary velocities, respectively. The solid lines show the best orbital solution from Table 3. Lower panels: observed–calculated residuals for the primary and secondary velocities.

Other Images in This Article
Copyright and Terms & Conditions

Additional terms of reuse