Image Details

Choose export citation format:

The MIRI Excesses Around Degenerates (MEAD) Survey. II. A Probable Planet Detected via IR Excess around WD 0644+025

  • Authors: Sabrina Poulsen, John Debes, Ashley Messier, Érika Le Bourdais, Carl Melis, Misty Cracraft, Samuel Boucher, Mukremin Kilic, Scott Kenyon, Mark C. Wyatt, Seth Redfield, Patrick Dufour, Loic Albert, Susan E. Mullally, William T. Reach, Fergal Mullally, David A. Golimowski

Sabrina Poulsen et al 2026 The Astronomical Journal 171 .

  • Provider: AAS Journals

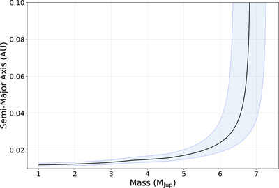
Caption: Figure 4.

Orbital distance as a function of companion mass consistent with the observed mid-infrared excess under the combined intrinsic and insolation heating model (Equations (1) and (2)). The black curve shows the best-fit solution corresponding to Teff,pl = 261 K, while the blue curves and shaded region indicate the range spanned by the 1σ bounds (Teff,pl = 252, 270 K).

Other Images in This Article
Copyright and Terms & Conditions

Additional terms of reuse