Image Details

Choose export citation format:

The Open Cluster Chemical Abundances and Mapping Survey. VIII. Galactic Chemical Gradient and Azimuthal Analysis from SDSS/MWM DR19

  • Authors: Jonah M. Otto, Peter M. Frinchaboy, Natalie R. Myers, James W. Johnson, John Donor, Ahabar Hossain, Szabolcs Mészáros, Hailey Wallace, Katia Cunha, Binod Bhattarai, Amaya Sinha, Gail Zasowski, Sarah R. Loebman, Alessa I. Wiggins, Adrian M. Price-Whelan, Taylor Spoo, Diogo Souto, Dmitry Bizyaev, Kaike Pan, Andrew K. Saydjari, Ying-Yi Song

Jonah M. Otto et al 2026 The Astronomical Journal 171 .

  • Provider: AAS Journals

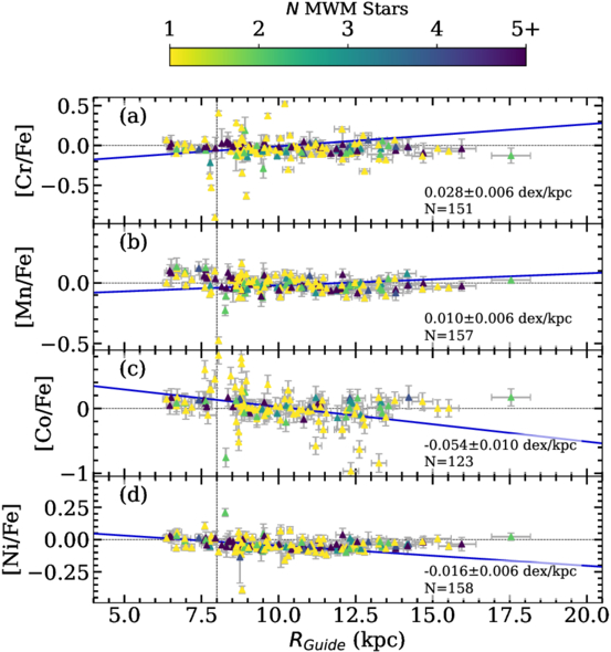
Caption: Figure 5.

Same as Figure 4, but for the iron-peak elements (Cr, Mn, Co, Ni).

Other Images in This Article

Show More

Copyright and Terms & Conditions

Additional terms of reuse