Image Details

Choose export citation format:

A Systematic Search for Gaseous Debris Disks in DESI Early Data Release White Dwarfs

  • Authors: Ziying Ma, 紫莹 马, Xiaoxia Zhang, 小霞 张, Taotao Fang, 陶陶 方, Junfeng Wang, 俊峰 王, Jincheng Guo, 金承 郭, Xiaochuan Jiang, 小川 姜, Zhi-Xiang Zhang, 志翔 张, Hu Zou, 虎 邹

Ziying Ma et al 2025 The Astronomical Journal 170 .

  • Provider: AAS Journals

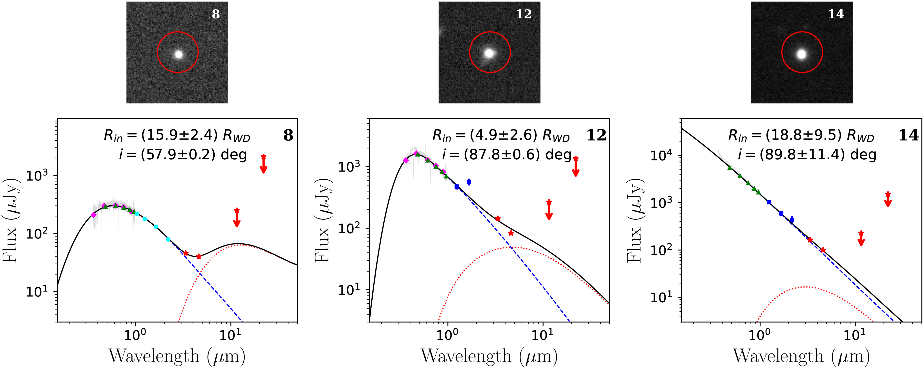
Caption: Figure 3.

Pan-STARRS z-band images (top row) and SED fits (bottom row) for the three candidate gaseous-debris-disks white dwarfs showing infrared excess. From left to right: WD J0849+0923 (ID = 8), WD J1434+1508 (ID = 12), and WD J1100+7138 (ID = 14). Each z-band image is centered on the DESI source position, with a red circle of 6″ radius indicating the absence of visible contaminants within the typical WISE beam. The SED panels show photometric data from SDSS (magenta diamonds), Pan-STARRS (green triangles), 2MASS (blue squares), UKIDSS (cyan circles), and WISE (red stars), along with the DESI spectrum in gray. The best-fit model (black solid line) includes contributions from the white dwarf photosphere (blue dashed line) and a dusty disk (red dotted line). The derived disk parameters (inner radius Rin and inclination i) are listed.

Other Images in This Article
Copyright and Terms & Conditions

Additional terms of reuse