Image Details

Choose export citation format:

A Combined TESS and Ground-based Study of Transit Timing Variations in HAT-P-16, TOI-1516 and TOI-2046 Systems

  • Authors: E. Sonbas, K. Kaplan, M. Tanriver, A. Keskin, K. Dhuga, A. Bulut, E. Göğüş, W. Ogłoza

E. Sonbas et al 2025 The Astronomical Journal 170 .

  • Provider: AAS Journals

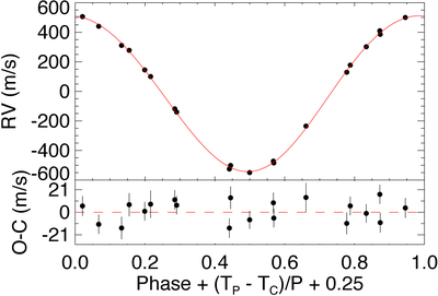
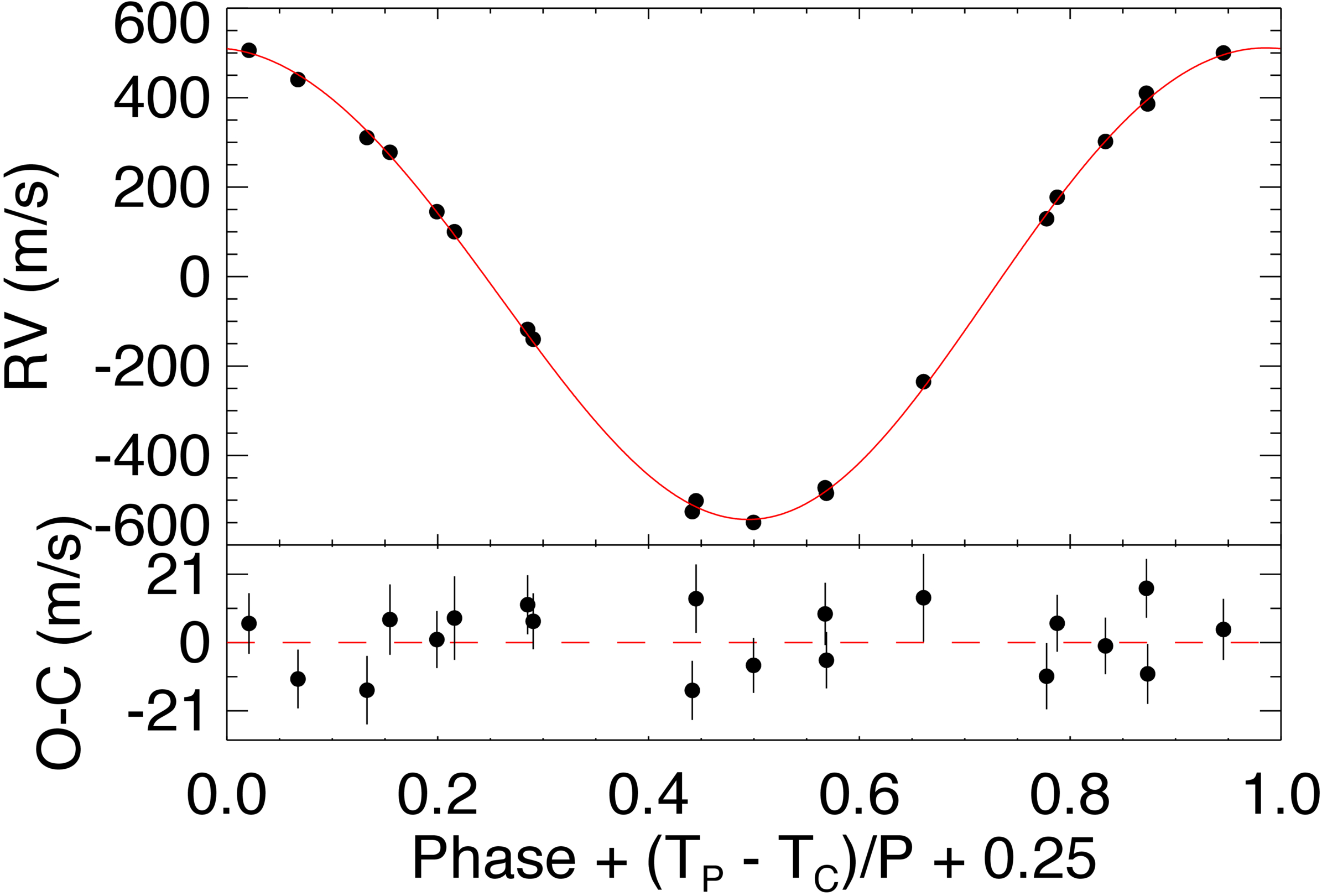
Caption: Figure 9.

Distribution of the RVs for HAT-P-16b in the top panel and the residuals in the bottom panel (L. A. Buchhave et al. 2010).

Other Images in This Article

Show More

Copyright and Terms & Conditions

Additional terms of reuse