Image Details

Choose export citation format:

An Interpretable AI Framework to Disentangle Self-interacting and Cold Dark Matter in Galaxy Clusters: The CKAN Approach

  • Authors: Zhenyang Huang, Haihao Shi, Zhiyong Liu, Na Wang

Zhenyang Huang et al 2025 The Astronomical Journal 170 .

  • Provider: AAS Journals

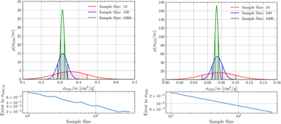
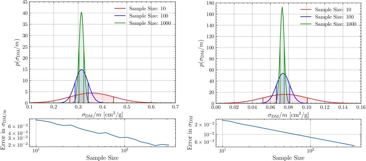
Caption: Figure 4.

Generalization performance of our CKAN on unseen clusters. Left: training on CDM-low AGN, CDM fiducial AGN, CDM-hi AGN, and two SIDM models (σDM/m = 0.1, 1 cm2 g−1), and then testing on the unseen SIDM models (σDM/m = 0.3 cm2 g−1). Right: training on CDM-low AGN, CDM fiducial AGN, CDM-hi AGN, and two SIDM models (σDM/m = 0.3, 1 cm2 g−1), and then testing on the unseen SIDM models (σDM/m = 0.1 cm2 g−1).

Other Images in This Article
Copyright and Terms & Conditions

Additional terms of reuse