Image Details

Choose export citation format:

A Comprehensive Reanalysis of K2-18 b’s JWST NIRISS+NIRSpec Transmission Spectrum

  • Authors: Stephen P. Schmidt, Ryan J. MacDonald, Shang-Min Tsai, Michael Radica, Le-Chris Wang, Eva-Maria Ahrer, Taylor J. Bell, Chloe Fisher, Daniel P. Thorngren, Nicholas Wogan, Erin M. May, Piero Ferrari, Katherine A. Bennett, Zafar Rustamkulov, Mercedes López-Morales, David K. Sing

Stephen P. Schmidt et al 2025 The Astronomical Journal 170 .

  • Provider: AAS Journals

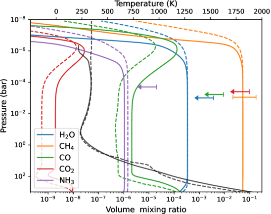
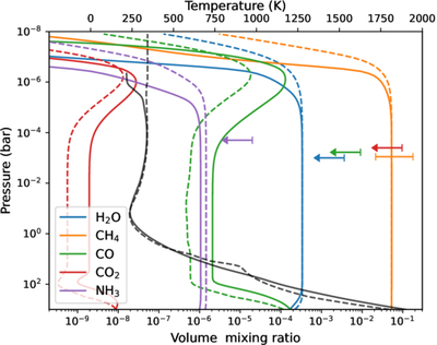
Caption: Figure 11.

Self-consistent mini-Neptune models for K2-18 b with an oxygen-depleted atmosphere. The atmospheric conditions and models are the same as the lower panel in Figure 9, but with C/O = 3.25.

Other Images in This Article

Show More

Copyright and Terms & Conditions

Additional terms of reuse