Image Details

Choose export citation format:

SDSS-V Milky Way Mapper (MWM): ASPCAP Stellar Parameters and Abundances in SDSS-V Data Release 19

  • Authors: Szabolcs Mészáros, Paula Jofré, Jennifer A. Johnson, Jonathan C. Bird, Jo Bovy, Andrew R. Casey, Julio Chanamé, Katia Cunha, Nathan De Lee, Peter Frinchaboy, Guillaume Guiglion, Viola Hegedűs, Alex P. Ji, Juna A. Kollmeier, Melissa K. Ness, Jonah Otto, Marc H. Pinsonneault, Alexandre Roman-Lopes, Andrew Saydjari, Amaya Sinha, Ying-Yi Song, Guy S. Stringfellow, Keivan G. Stassun, Jamie Tayar, Andrew Tkachenko, Marica Valentini, Zachary Way, Jörg Weingrill

Szabolcs Mészáros et al 2025 The Astronomical Journal 170 .

  • Provider: AAS Journals

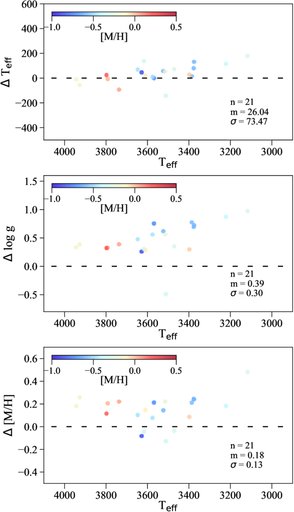
Caption: Figure 5.

Main atmospheric parameters comparison with those of derived by D. Souto et al. (2022) as a function of ASPCAP raw Teff values. Top panel: difference of temperatures from D. Souto et al. (2022) and ASPCAP raw Teff values; middle panel: difference of surface gravities from D. Souto et al. (2022) and ASPCAP raw log g values; bottom panel: difference of metallicities from D. Souto et al. (2022) and ASPCAP raw [M/H] values.

Other Images in This Article

Show More

Copyright and Terms & Conditions

Additional terms of reuse