Image Details

Choose export citation format:

EFTE-SOAR: Two Giant M Dwarf Flares with Rapid Spectroscopic Follow-up

  • Authors: Hank Corbett, Nathan Galliher, Amy Glazier, Ramses Gonzalez Chavez, Nicholas M. Law, Ward S. Howard, Alan Vasquez Soto, Jeffrey K. Ratzloff, Robert Quimby

Hank Corbett et al 2025 The Astronomical Journal 169 .

  • Provider: AAS Journals

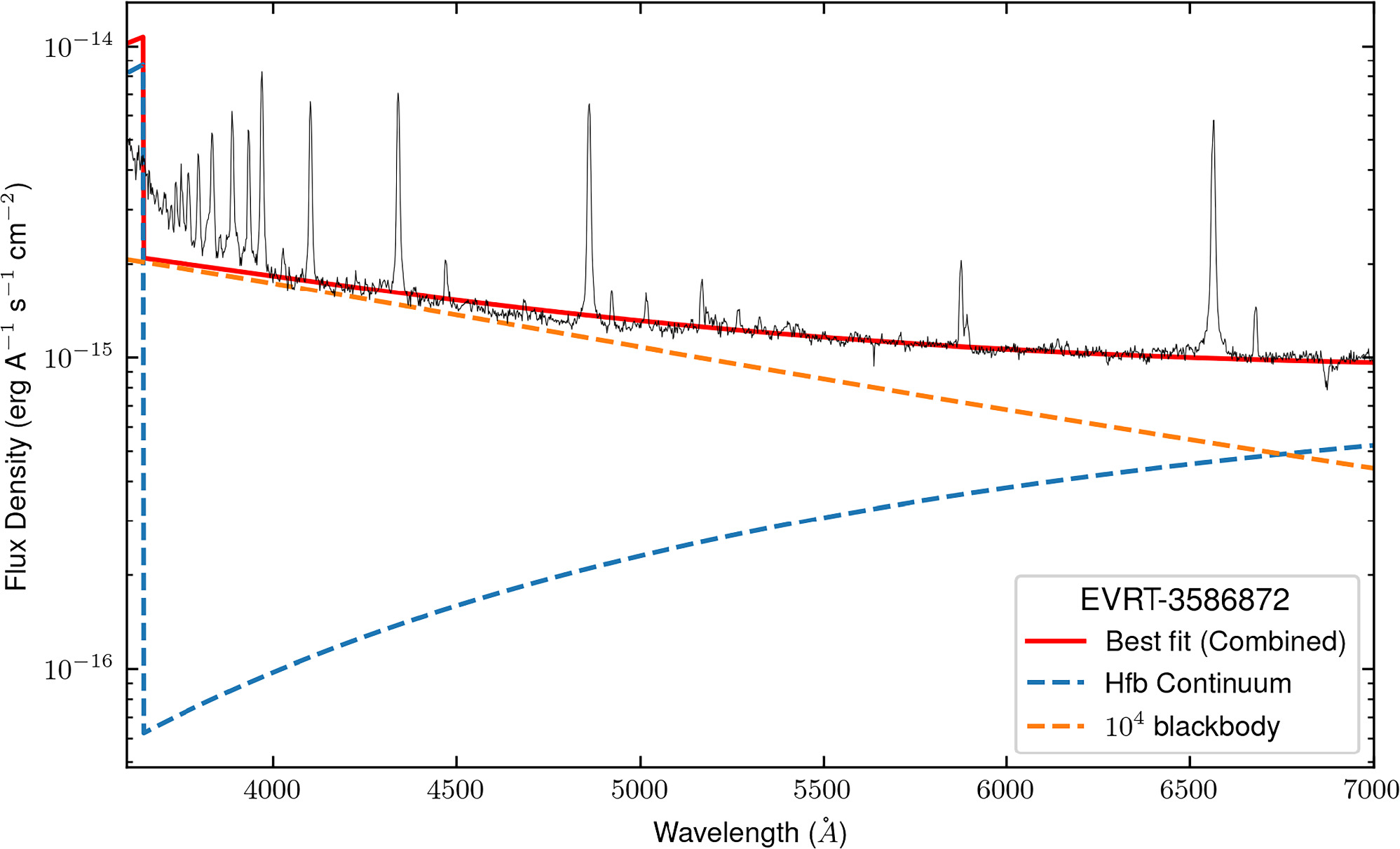
Caption: Figure 12.

The secondary peak of EVRT-3586872, modeled as a combination of a hydrogen recombination continuum, following P. J. A. Simões et al. (2024), and a simple thermal blackbody. The Hfb model predicts an order of magnitude density enhancement in the chromospheric plasma density preceding the peak.

Other Images in This Article

Show More

Copyright and Terms & Conditions

Additional terms of reuse