Image Details

Choose export citation format:

Resonant Chains and the Convergent Migration of Planets in Protoplanetary Disks

  • Authors: Ka Ho Wong, Man Hoi Lee

Ka Ho Wong and Man Hoi Lee 2024 The Astronomical Journal 167 .

  • Provider: AAS Journals

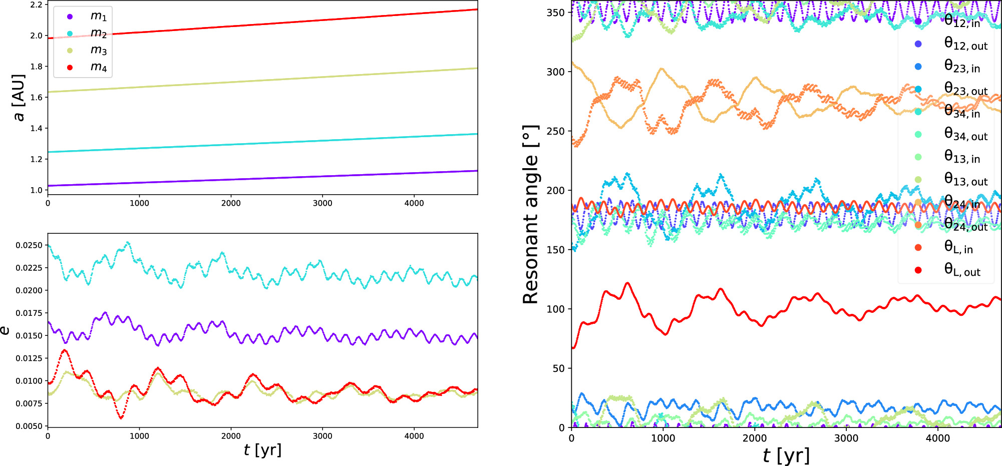
Caption: Figure 6.

Time evolution of semimajor axes (upper left panel), eccentricities (lower left panel), and two-body MMR and three-body Laplace angles (right panel) in a disk migration simulation of the Kepler-223 system with α = −2.586 and β = −1.966. This (α, β) combination is just below the analytic convergent outward migration zone, but the resonant chain is maintained to the end of the simulation.

Other Images in This Article
Copyright and Terms & Conditions

Additional terms of reuse