Image Details

Choose export citation format:

OGLE-2019-BLG-1180Lb: Discovery of a Wide-orbit Jupiter-mass Planet around a Late-type Star

  • Authors: Sun-Ju Chung, Andrzej Udalski, Jennifer C. Yee, Andrew Gould, Michael D. Albrow, Youn Kil Jung, Kyu-Ha Hwang, Cheongho Han, Yoon-Hyun Ryu, In-Gu Shin, Yossi Shvartzvald, Hongjing Yang, Weicheng Zang, Sang-Mok Cha, Dong-Jin Kim, Seung-Lee Kim, Chung-Uk Lee, Dong-Joo Lee, Yongseok Lee, Byeong-Gon Park, Richard W. Pogge, Radek Poleski, Przemek Mróz, Jan Skowron, Michał K. Szymański, Igor Soszyński, Paweł Pietrukowicz, Szymon Kozłowski, Krzysztof Ulaczyk, Krzysztof A. Rybicki, Patryk Iwanek, Marcin Wrona, Mariusz Gromadzki

Sun-Ju Chung et al 2023 The Astronomical Journal 166 .

  • Provider: AAS Journals

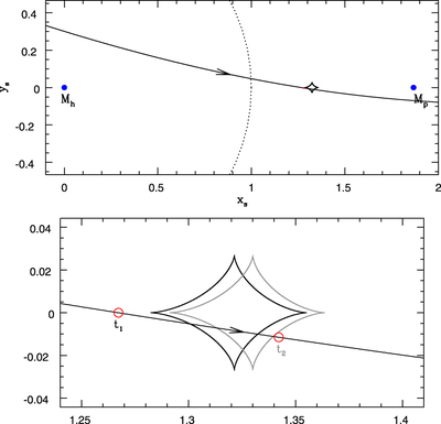
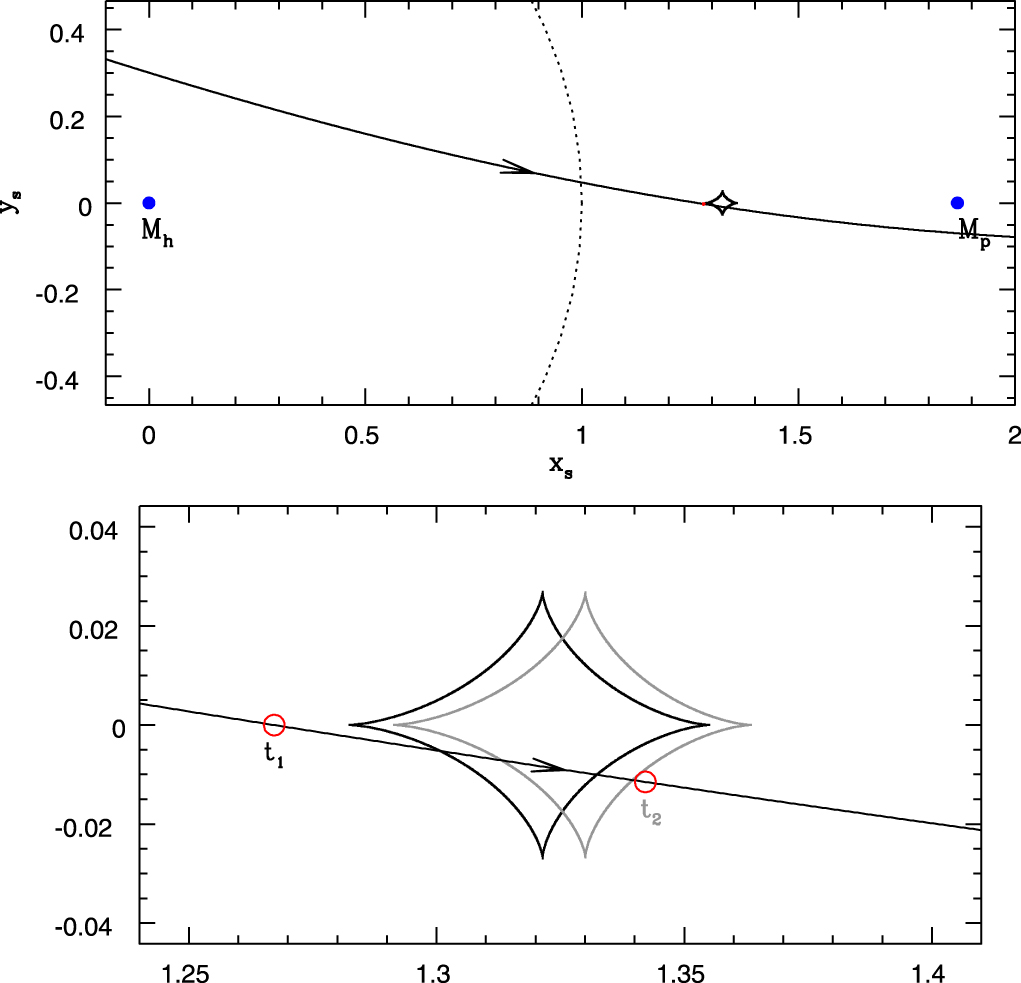
Caption: Figure 3.

Geometry of the best-fit parallax+orbital model. Top: the blue solid dots represent two lens components, while the red open circle represents the normalized source size. The dotted circle denotes the Einstein ring and the straight line with an arrow is the source trajectory. The black closed curve represents the planetary caustic. Bottom: close-up view of the planetary caustic region. The caustics at t 1 = 8741.2 and t 2 = 8743.5 are presented in black and gray, respectively.

Other Images in This Article

Show More

Copyright and Terms & Conditions

Additional terms of reuse