Image Details

Choose export citation format:

Characterizing a World Within the Hot-Neptune Desert: Transit Observations of LTT 9779 b with the Hubble Space Telescope/WFC3

  • Authors: Billy Edwards, Quentin Changeat, Angelos Tsiaras, Andrew Allan, Patrick Behr, Simone R. Hagey, Michael D. Himes, Sushuang Ma, Keivan G. Stassun, Luis Thomas, Alexandra Thompson, Aaron Boley, Luke Booth, Jeroen Bouwman, Kevin France, Nataliea Lowson, Annabella Meech, Caprice L. Phillips, Aline A. Vidotto, Kai Hou Yip, Michelle Bieger, Amélie Gressier, Estelle Janin, Ing-Guey Jiang, Pietro Leonardi, Subhajit Sarkar, Nour Skaf, Jake Taylor, Ming Yang, Derek Ward-Thompson

Billy Edwards et al 2023 The Astronomical Journal 166 .

  • Provider: AAS Journals

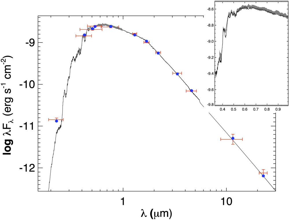
Caption: Figure 13.

SED of LTT 9779. Red symbols represent the observed photometric measurements, where the horizontal bars represent the effective width of the passband. Blue symbols are the model fluxes from the best-fit PHOENIX atmosphere model (black). The Gaia spectrum is also shown as a gray swathe; the inset plot shows a close up.

Other Images in This Article

Show More

Copyright and Terms & Conditions

Additional terms of reuse