Image Details

Choose export citation format:

TOI-1338: TESS’ First Transiting Circumbinary Planet

  • Authors: Veselin B. Kostov, Jerome A. Orosz, Adina D. Feinstein, William F. Welsh, Wolf Cukier, Nader Haghighipour, Billy Quarles, David V. Martin, Benjamin T. Montet, Guillermo Torres, Amaury H.M.J. Triaud, Thomas Barclay, Patricia Boyd, Cesar Briceno, Andrew Collier Cameron, Alexandre C.M. Correia, Emily A. Gilbert, Samuel Gill, Michaël Gillon, Jacob Haqq-Misra, Coel Hellier, Courtney Dressing, Daniel C. Fabrycky, Gabor Furesz, Jon Jenkins, Stephen R. Kane, Ravi Kopparapu, Vedad Kunovac Hodžić, David W. Latham, Nicholas Law, Alan M. Levine, Gongjie Li, Chris Lintott, Jack J. Lissauer, Andrew W. Mann, Tsevi Mazeh, Rosemary Mardling, Pierre F.L. Maxted, Nora Eisner, Francesco Pepe, Joshua Pepper, Don Pollacco, Samuel N. Quinn, Elisa V. Quintana, Jason F. Rowe, George Ricker, Mark E. Rose, S. Seager, Alexandre Santerne, Damien Ségransan, Donald R. Short, Jeffrey C. Smith, Matthew R. Standing, Andrei Tokovinin, Trifon Trifonov, Oliver Turner, Joseph D. Twicken, Stéphane Udry, Roland Vanderspek, Joshua N. Winn, Eric T. Wolf, Carl Ziegler, Peter Ansorge, Frank Barnet, Joel Bergeron, Marc Huten, Giuseppe Pappa, and Timo van der Straeten

2020 The Astronomical Journal 159 253.

  • Provider: AAS Journals

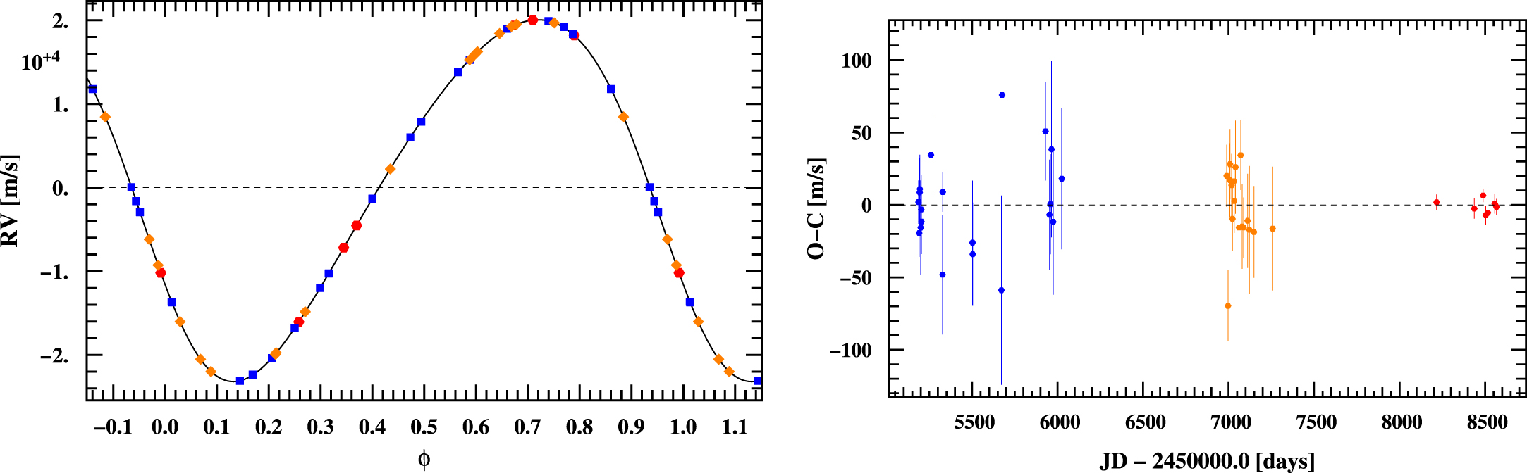
Caption: Figure 5.

Left panel: radial velocities for TOI-1338, phase-folded on the binary orbital period of 14.61 days, taken with the CORALIE instrument (blue and orange) and HARPS (red). Right panel: residuals to the single-Keplerian radial-velocity fit over time. The change in CORALIE residuals between blue and orange measurements coincide with a fiber change (see the text for details).

Other Images in This Article

Show More

Copyright and Terms & Conditions