Image Details

Choose export citation format:

Measuring the Microlensing Parallax from Various Space Observatories

  • Authors: E. Bachelet, T. C. Hinse, and R. Street

2018 The Astronomical Journal 155 191.

  • Provider: AAS Journals

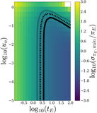
Caption: Figure 4.

Top panels: minimum expected error on the parallax measurement ﹩{\sigma }_{{\pi }_{{\rm{E}}},\min }/{\pi }_{{\rm{E}}}﹩ (color-coded in log10 scale, in the range [−3, 3]), assuming observing and lensing event details presented in the text. The small-dashed, dashed, and solid contour lines indicate the 1, 2, and 3σ detection regions, respectively. Bottom panels: magnification ratio between two satellites separated in phase by π. Left panels: solar orbit satellites. Middle panels: geosynchronous satellites. Right panels: LEO satellites.

Other Images in This Article
Copyright and Terms & Conditions