Image Details

Choose export citation format:

Measuring the Microlensing Parallax from Various Space Observatories

  • Authors: E. Bachelet, T. C. Hinse, and R. Street

2018 The Astronomical Journal 155 191.

  • Provider: AAS Journals

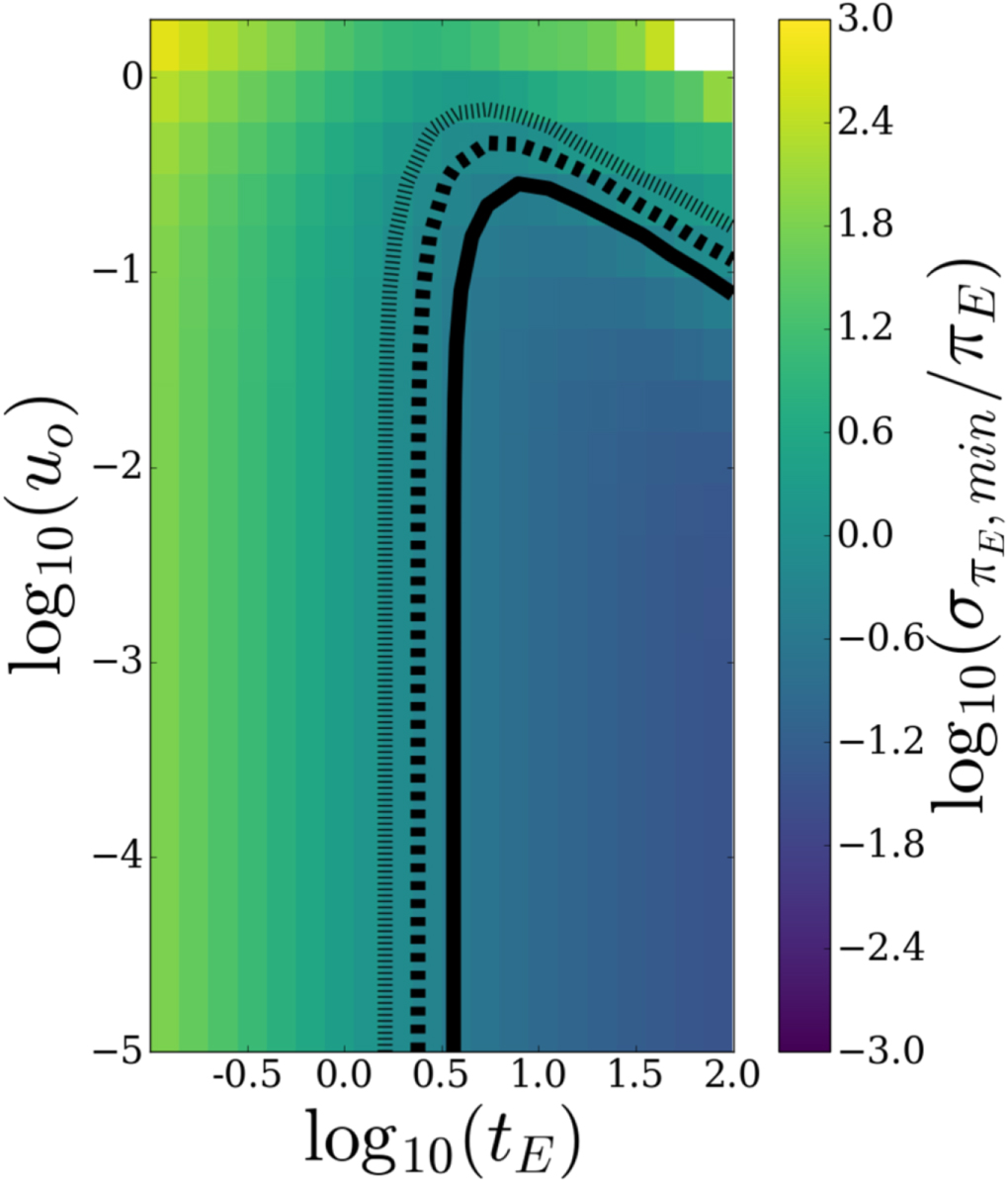
Caption: Figure 2.

Minimum expected error on the parallax measurement ﹩{\sigma }_{{\pi }_{{\rm{E}}},\min }/{\pi }_{{\rm{E}}}﹩ (color-coded in log10 scale, in the range [−3, 3]), for a telescope placed on the Moon. The small-dashed, dashed, and solid contour curves indicate the 1, 2, and 3σ detection regions, respectively. The blank pixels on the top right indicates ill-observed event, leading to ﹩{\sigma }_{{\pi }_{{\rm{E}}},\min }^{2}(0)\lt 0﹩.

Other Images in This Article
Copyright and Terms & Conditions