Image Details

Choose export citation format:

Quantitative Signatures of Galactic Superwinds on Lyα Clouds and Metal‐Line Systems

  • Authors: Renyue Cen, Kentaro Nagamine, and Jeremiah P. Ostriker

Cen, Nagamine, & Ostriker 2005 The Astrophysical Journal 635 86.

  • Provider: AAS Journals

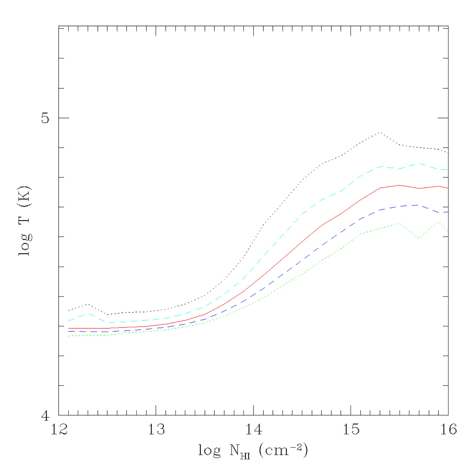
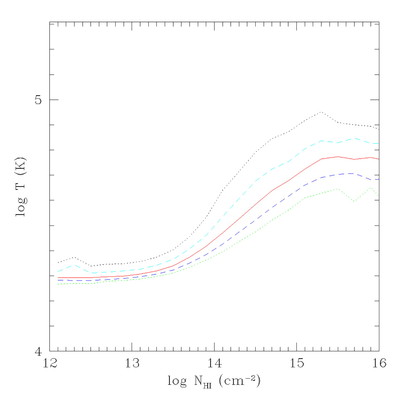
Caption: Fig. 4.

Temperature as a function of Lyα cloud column density for the two cases with (left; run 1: N432L11M) and without (right; run 2: N432L11L) GSWs, respectively, at ﹩z=3﹩. The five curves in each panel correspond to 10th, 25th, 50th, 75th, and 90th percentiles; i.e., 10% of the clouds have a temperature below the bottom curve, while 90% have a temperature below the top curve, etc.

Other Images in This Article

Show More

Copyright and Terms & Conditions