Image Details

Choose export citation format:

Quantitative Signatures of Galactic Superwinds on Lyα Clouds and Metal‐Line Systems

  • Authors: Renyue Cen, Kentaro Nagamine, and Jeremiah P. Ostriker

Cen, Nagamine, & Ostriker 2005 The Astrophysical Journal 635 86.

  • Provider: AAS Journals

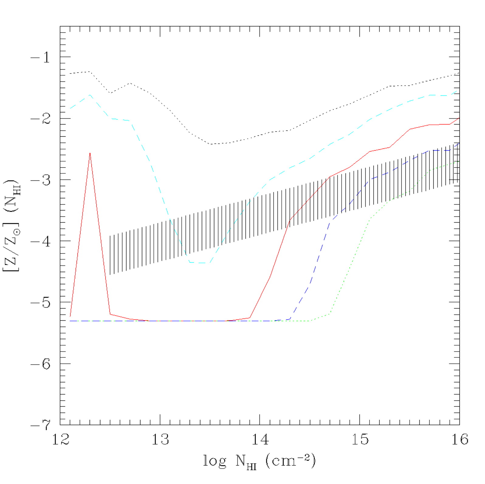
Caption: Fig. 6.

Metallicity as a function of Lyα cloud column density for run 1 (N432L11M) with two cases of metal yields: with constant yield ﹩y_{0}=0.02﹩ (left) and with varying yield with a transition to higher yield at ﹩Z=10^{-3}﹩ ﹩Z_{\odot }﹩ (right), at ﹩z=3﹩. The five curves in each panel correspond to 10th, 25th, 50th, 75th, and 90th percentiles. The shaded regions indicate the observed median metallicity as a function of column density from Schaye et al. (2003) with 1 σ bounds, ﹩[ \mathrm{C}\,/ \mathrm{H}\,] =3.47^{+0.07}_{-0.06}+0.08^{+0.09}_{-0.07}+0.65^{+0.10}_{-0.14}[ \mathrm{log}\,( \delta ) -0.5] ﹩, using the formula relating column density to gas density in Schaye et al. (2003), ﹩\rho / \langle \rho \rangle =10( N_{\mathrm{H}\,\,{}^{{\rm{\small I}}}}/ 10^{15}\ \mathrm{cm}\,^{-2}) ^{2/ 3}[ ( 1+z) / 4] ^{-3}﹩.

Other Images in This Article

Show More

Copyright and Terms & Conditions