Image Details

Choose export citation format:

Final Results from the Hubble Space Telescope Key Project to Measure the Hubble Constant

  • Authors: Wendy L. Freedman, Barry F. Madore, Brad K. Gibson, Laura Ferrarese, Daniel D. Kelson, Shoko Sakai, Jeremy R. Mould, Robert C. Kennicutt, Jr., Holland C. Ford, John A. Graham, John P. Huchra, Shaun M. G. Hughes, Garth D. Illingworth, Lucas M. Macri, and Peter B. Stetson

Freedman et al. 2001 The Astrophysical Journal 553 47.

  • Provider: AAS Journals

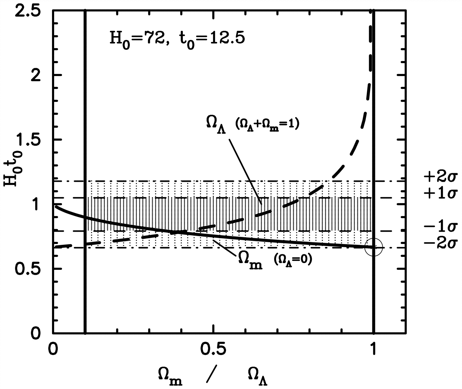
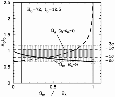
Caption: Fig. 9.

H0t0 vs. Ω for ﹩H_{0}=72﹩ km s−1 Mpc−1, ﹩t_{0}=12.5﹩ Gyr, and uncertainties of ±10% adopted for both quantities. The dark solid line indicates the case of a flat universe with ﹩\Omega _{\Lambda }+\Omega _{m}=1﹩. The abscissa in this case corresponds to ﹩\Omega _{\Lambda }﹩. The lighter curve represents a universe with ﹩\Omega _{\Lambda }=0﹩. In this case, the abscissa should be read as ﹩\Omega _{m}﹩. The dashed and dot‐dashed lines indicate 1 and 2 σ limits, respectively, for values of ﹩H_{0}=72﹩ and ﹩t_{0}=12.5﹩ Gyr in the case in which both quantities are assumed to be known to ±10% (1 σ). The large open circle denotes values of ﹩H_{0}t_{0}=\frac{2}{3}﹩ and ﹩\Omega _{m}=1﹩ (i.e., those predicted by the Einstein–de Sitter model). On the basis of a timescale comparison alone, it is not possible to discriminate between models with ﹩\Omega _{m}\sim 0.1﹩, ﹩\Omega _{\Lambda }=0﹩ or ﹩\Omega _{m}\sim 0.35﹩, ﹩\Omega _{\Lambda }\sim 0.65﹩.

Other Images in This Article
Copyright and Terms & Conditions