Image Details

Choose export citation format:

Final Results from the Hubble Space Telescope Key Project to Measure the Hubble Constant

  • Authors: Wendy L. Freedman, Barry F. Madore, Brad K. Gibson, Laura Ferrarese, Daniel D. Kelson, Shoko Sakai, Jeremy R. Mould, Robert C. Kennicutt, Jr., Holland C. Ford, John A. Graham, John P. Huchra, Shaun M. G. Hughes, Garth D. Illingworth, Lucas M. Macri, and Peter B. Stetson

Freedman et al. 2001 The Astrophysical Journal 553 47.

  • Provider: AAS Journals

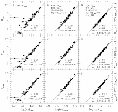
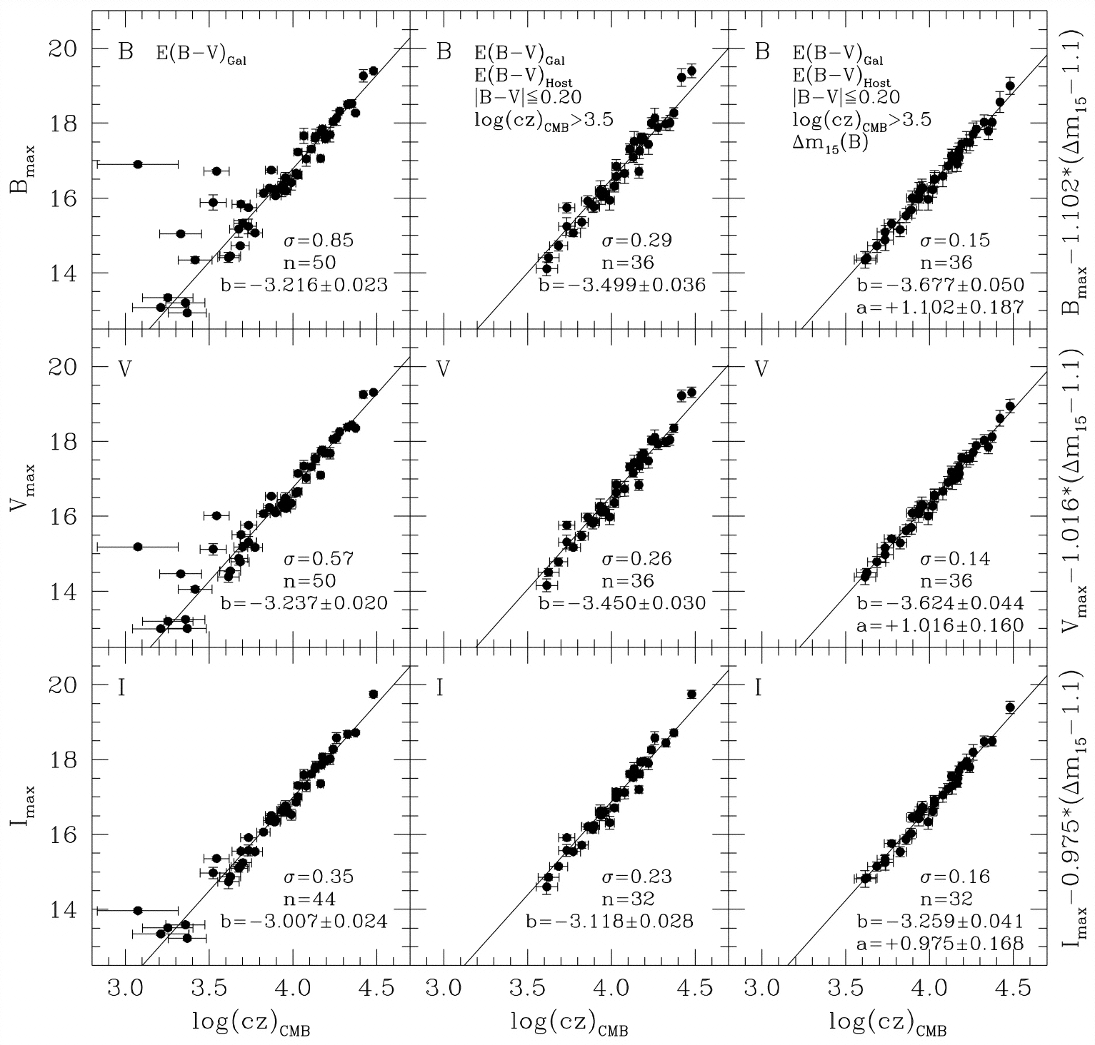
Caption: Fig. 2.

Three sets of Hubble relations constructed from the Calán‐Tololo (Hamuy et al. 1996) and CfA‐2 (Riess et al. 1999) Type Ia supernova samples. Left: The full sample of 50 supernovae, with peak magnitudes corrected only for foreground Galactic reddening. All tabulated heliocentric velocities have been corrected to the cosmic microwave background reference frame using the velocity calculator available in the NASA Extragalactic Database (NED). Middle: Our adopted sample of 36 supernovae, excluding those with peak BV colors in excess of 0.20 mag and velocities with respect to the cosmic microwave background below 3100 km s﹩^{-1}﹩. Both foreground Galactic and host galaxy reddening corrections were applied. Right: The Hubble relations adopted for this paper. Same as for the middle panel, but an additional correction for the light curve shape (linear in ﹩\Delta m_{15}﹩ [B]) has been applied. All slopes a, zero points b, and dispersions σ are noted in their relevant panels. Foreground Galactic reddening corrections E(BV)Gal are based on COBE DIRBE data (Schlegel, Finkbeiner, & Davis 1998). To retain consistency with the Key Project series of papers, we employed a ratio of total‐to‐selective absorption ﹩R_{V}=3.3﹩ and the Cardelli et al. (1989) extinction law throughout.

Other Images in This Article
Copyright and Terms & Conditions