Image Details

Choose export citation format:

OGLE-GAL-ACEP-091: The First Known Multi-mode Anomalous Cepheid

  • Authors: I. Soszyński, R. Smolec, A. Udalski, M.K. Szymański, P. Pietrukowicz, D.M. Skowron, J. Skowron, P. Mróz, R. Poleski, S. Kozłowski, P. Iwanek, M. Wrona, M. Gromadzki, K. Ulaczyk, and K. Rybicki

2020 The Astrophysical Journal Letters 901 L25.

  • Provider: AAS Journals

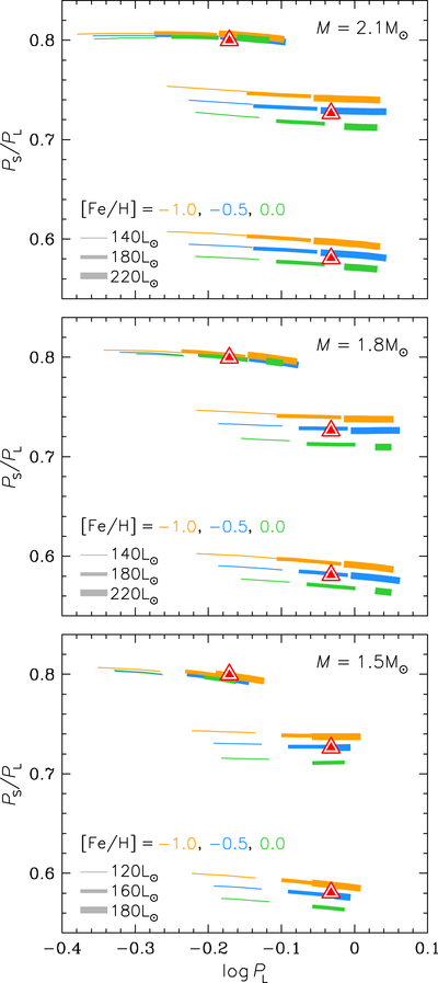
Caption: Figure 5.

Petersen diagrams with linear pulsation models for OGLE-GAL-ACEP-091 (red triangles). The top, middle, and bottom panels correspond to models of M = 2.1, 1.8, and 1.5 ﹩{M}_{\odot }﹩, respectively. In each panel, line segments correspond to horizontal model sequences of constant L (value indicated with line thickness) and effective temperature varying in 100 K steps, in which F, 1O, and 2O are simultaneously unstable. Models for three different metallicities are plotted with different colors.

Other Images in This Article
Copyright and Terms & Conditions