Image Details

Choose export citation format:

OGLE-GAL-ACEP-091: The First Known Multi-mode Anomalous Cepheid

  • Authors: I. Soszyński, R. Smolec, A. Udalski, M.K. Szymański, P. Pietrukowicz, D.M. Skowron, J. Skowron, P. Mróz, R. Poleski, S. Kozłowski, P. Iwanek, M. Wrona, M. Gromadzki, K. Ulaczyk, and K. Rybicki

2020 The Astrophysical Journal Letters 901 L25.

  • Provider: AAS Journals

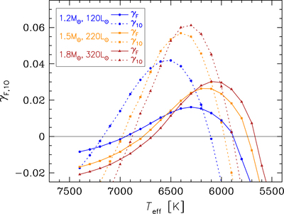
Caption: Figure 4.

Linear growth rates for radial F and 1O modes plotted vs. effective temperature for three sequences of models with metallicity [Fe/H] = −1.5 dex and constant mass and luminosity, as indicated in the key.

Other Images in This Article
Copyright and Terms & Conditions