Image Details

Choose export citation format:

Dust Formation in Macronovae

  • Authors: Hajime Takami, Takaya Nozawa, and Kunihito Ioka

Takami, Nozawa, & Ioka 2014 The Astrophysical Journal Letters 789 L6.

  • Provider: AAS Journals

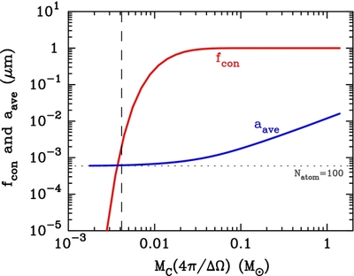
Caption: Figure 2.

Condensation efficiency and average radius of newly formed carbon grains as a function of the isotropic mass of carbon MC(4π/ΔΩ) (MC is the carbon mass available for dust formation). The radius of carbon grains with 100 atoms is also shown (dotted). The vertical dashed line marks the amount of carbon gas which is required to produce the dust emission spectrum (Md, C = 8 × 10−6M) in Figure 3 for ΔΩ = 4π.

Other Images in This Article
Copyright and Terms & Conditions