Image Details

Choose export citation format:

Dark Matter in the Classical Dwarf Spheroidal Galaxies: A Robust Constraint on the Astrophysical Factor for γ-Ray Flux Calculations

  • Authors: M. G. Walker, C. Combet, J. A. Hinton, D. Maurin, and M. I. Wilkinson

Walker et al. 2011 The Astrophysical Journal Letters 733 L46.

  • Provider: AAS Journals

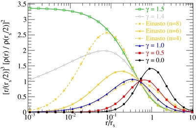
Caption: Figure 1.

Integrand appearing in Equation (4) to calculate the J-factor for (1, 3, γ) dark matter profiles. For comparison we show the integrand calculated for the Einasto profile. In this representation, J point-like is directly proportional to the area under each curve.

Other Images in This Article
Copyright and Terms & Conditions