Image Details

Choose export citation format:

Crossing the Rubicon of Reionization with z ∼ 5 QSOs

  • Authors: Andrea Grazian, Konstantina Boutsia, Emanuele Giallongo, Stefano Cristiani, Fabio Fontanot, Manuela Bischetti, Angela Bongiorno, Giorgio Calderone, Guido Cupani, Valentina D'Odorico, Chiara Feruglio, Fabrizio Fiore, Francesco Guarneri, Matteo Porru, Ivano Saccheo

Andrea Grazian et al 2023 The Astrophysical Journal 955 .

  • Provider: AAS Journals

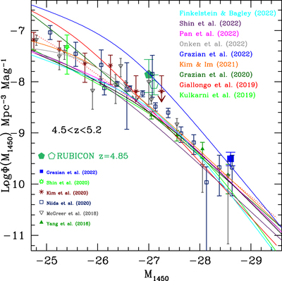
Caption: Figure 6.

The QSO luminosity function at z ∼ 5 from the HSC-Udeep and HSC-Wide surveys. The filled green pentagon shows the space density of z ∼ 5 QSOs in the HSC-Udeep area, while the open green pentagon shows the space density in the HSC-Wide area, considering only confirmed QSOs with available spectroscopic redshifts. These values are a factor of ∼2–3 larger than previous determinations available in the literature, highlighted by small symbols. The magenta line is model 4 of Pan et al. (2022).

Other Images in This Article
Copyright and Terms & Conditions

Additional terms of reuse