Image Details

Choose export citation format:

Ross 19B: An Extremely Cold Companion Discovered via the Backyard Worlds: Planet 9 Citizen Science Project

  • Authors: Adam C. Schneider, Aaron M. Meisner, Jonathan Gagné, Jacqueline K. Faherty, Federico Marocco, Adam J. Burgasser, J. Davy Kirkpatrick, Marc J. Kuchner, Léopold Gramaize, Austin Rothermich, Hunter Brooks, Frederick J. Vrba, Daniella Bardalez Gagliuffi, Dan Caselden, Michael C. Cushing, Christopher R. Gelino, Michael R. Line, Sarah L. Casewell, John H. Debes, Christian Aganze, Andrew Ayala, Roman Gerasimov, Eileen C. Gonzales, Chih-Chun Hsu, Rocio Kiman, Mark Popinchalk, Christopher Theissen

Adam C. Schneider et al 2021 The Astrophysical Journal 921 .

  • Provider: AAS Journals

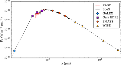
Caption: Figure 6.

Spectral energy distribution for Ross 19A. Our KAST and SpeX spectra for Ross 19A are plotted as red and black lines, respectively. All photometry is labeled as in the figure legend and includes GALEX NUV, Gaia G Bp, G, G Rp, 2MASS J, H, K S, and WISE W1, W2, W3, and W4 magnitudes. This comprehensive SED is used to determine fundamental parameters of Ross 19A following the methods in Filippazzo et al. (2015).

Other Images in This Article
Copyright and Terms & Conditions

Additional terms of reuse