Image Details

Choose export citation format:

Radial Gradients in Dust-to-gas Ratio Lead to Preferred Region for Giant Planet Formation

  • Authors: Yayaati Chachan, Eve J. Lee, and Heather A. Knutson

2021 The Astrophysical Journal 919 63.

  • Provider: AAS Journals

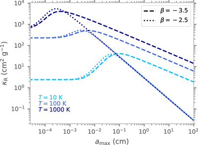
Caption: Figure 3.

Rosseland mean opacity per gram of dust for a power-law grain size distribution with β = −3.5 and −2.5 and three different temperatures. The lowest value of amax = 0. 25 μm on this plot is the commonly adopted value for the ISM size distribution.

Other Images in This Article

Show More

Copyright and Terms & Conditions