Image Details

Choose export citation format:

Subphotospheric Turbulence as a Heating Mechanism in Gamma-Ray Bursts

  • Authors: Jonathan Zrake, Andrei M. Beloborodov, and Christoffer Lundman

2019 The Astrophysical Journal 885 30.

  • Provider: AAS Journals

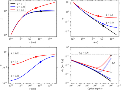
Caption: Figure 1.

Sample solutions of the jet evolution Equations (6) and (7). The solutions describe conical expansion of the jet from r1 = 107 cm, assuming Γ(r1) = 10, the isotropic equivalent of the jet power L(r1) = 1052 erg s−1, and ﹩\dot{M}=4\pi {\rm{\Phi }}={10}^{29}﹩ g s−1. Three models are shown, each with a constant heating parameter ξ: ξ = 0, 10−2, and 10−1. The upper panels show the jet bulk Lorentz factor Γ and specific enthalpy w. The solid circle on each curve marks the radius where the optical depth of the electron–ion plasma drops to unity. This would be the photosphere of the jet if no e± pairs were created. However, copious pair creation is expected in this region (Section 4), and therefore the actual photosphere is pushed to a larger radius. The bottom left panel shows the Compton y parameter (Equation (19)). The bottom right panel shows the approximate Compton temperature ﹩{\theta }_{{\rm{C}}}﹩ assuming photon-to-proton ratio ﹩{n}_{\gamma }/{n}_{p}={10}^{5}﹩ and the effective electron temperature ﹩{\theta }_{\mathrm{eff}}﹩ from Equation (17) (faint thick curves). The vertical bar indicates the deviation Δθ of ﹩{\theta }_{\mathrm{eff}}﹩ from ﹩{\theta }_{{\rm{C}}}﹩ for the model with ξ = 0.1.

Other Images in This Article
Copyright and Terms & Conditions