Image Details

Choose export citation format:

OPTICAL FLASHES FROM INTERNAL PAIRS FORMED IN GAMMA-RAY BURST AFTERGLOWS

  • Authors: A. Panaitescu

2015 The Astrophysical Journal 806 64.

  • Provider: AAS Journals

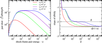
Caption: Figure 2.

Left panel: distribution with energy (multiplied by ﹩{{\gamma }^{\beta }}﹩, to show where the power-law ﹩d{{N}_{l}}/d\gamma \propto {{\gamma }^{-\beta }}﹩ branch occurs) of the pairs formed in a relativistic source with same parameters as for Figure 1, calculated numerically by integrating Equation (42). Right panel: comparison between the derivative ﹩d{\rm log} (d{{N}_{l}}/d\gamma )/d{\rm log} \gamma ﹩ of the numerical pair distribution and the expected power-law slopes (Equations (47) and (48)). For ﹩{{\varepsilon }_{b}}\gt {{\tilde{\varepsilon }}_{b}}﹩ (red line), the front is optically thin for any photon and the lowest-energy expected branch is not developed. For ﹩{{\varepsilon }_{b}}\ll {{\tilde{\varepsilon }}_{b}}﹩, all three branches are seen.

Other Images in This Article
Copyright and Terms & Conditions