Image Details

Choose export citation format:

Probing the Pulsar Origin of the Anomalous Positron Fraction with AMS-02 and Atmospheric Cherenkov Telescopes

  • Authors: Tim Linden and Stefano Profumo

Linden & Profumo 2013 The Astrophysical Journal 772 18.

  • Provider: AAS Journals

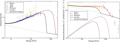
Caption: Figure 1.

Left: the positron fraction from a combination of the Galprop model for the diffuse e ± Galactic background (green dotted), along with contributions from the Geminga (black) and Monogem (red) pulsars, compared with data from PAMELA (green circles), Fermi-LAT (orange triangles) and AMS-02 (blue squares). Right: the flux of cosmic-ray electrons and positrons from a combination of the same Galprop model (green dotted), with contributions from the Geminga (black dashed) and Monogem (red dashed) pulsars. These create a total cosmic-ray lepton spectrum (black and red solid respectively), which can be compared with data from the Fermi-LAT (orange squares) and H.E.S.S. (pink diamond) observations, (right). Note that the diffuse background from Galprop was not tuned to reproduced the H.E.S.S. data, and we do not attempt to fit those data above 1 TeV.

Other Images in This Article
Copyright and Terms & Conditions