Image Details

Choose export citation format:

Feedback from High-mass X-Ray Binaries on the High-redshift Intergalactic Medium: Model Spectra

  • Authors: Chris Power, Gillian James, Celine Combet, and Graham Wynn

Power et al. 2013 The Astrophysical Journal 764 76.

  • Provider: AAS Journals

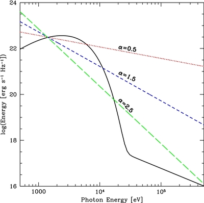
Caption: Figure 4.

Comparison of the composite (i.e., blackbody plus power-law) HMXB spectral energy distribution (solid curve) and possible power-law alternatives (with indices α = 0.5, 1.5, 2.5, corresponding to dotted, short-dashed, and long-dashed curves, respectively). The composite HMXB spectrum is as measured at t = 50 Myr in Figure 1, while the power-law spectra are normalized such that the total energy emitted between 1 and 2 keV is the same for both the composite and power-law spectra.

Other Images in This Article
Copyright and Terms & Conditions