Image Details

Choose export citation format:

Feedback from High-mass X-Ray Binaries on the High-redshift Intergalactic Medium: Model Spectra

  • Authors: Chris Power, Gillian James, Celine Combet, and Graham Wynn

Power et al. 2013 The Astrophysical Journal 764 76.

  • Provider: AAS Journals

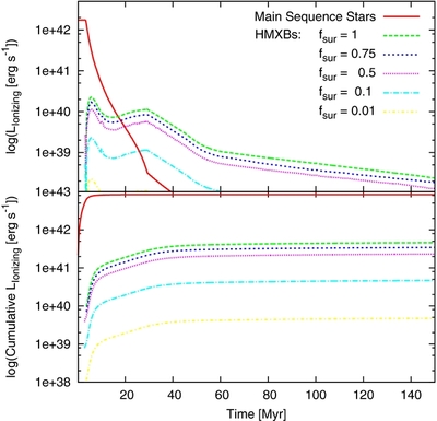
Caption: Figure 2.

Time evolution of the instantaneous and cumulative ionizing power of a stellar population of N = 10 6 stars and a Kroupa IMF (upper and lower panels, respectively). Solid curves correspond to the contribution from MS stars only; curves of different line types correspond to the combined contribution of MS stars and HMXBs for five different values of the survival fraction f sur with 0.01 ⩽ f sur ⩽ 1.

Other Images in This Article
Copyright and Terms & Conditions