Image Details

Choose export citation format:

Identifying Collisional Families in the Kuiper Belt

  • Authors: Robert A. Marcus, Darin Ragozzine, Ruth A. Murray-Clay, and Matthew J. Holman

Marcus et al. 2011 The Astrophysical Journal 733 40.

  • Provider: AAS Journals

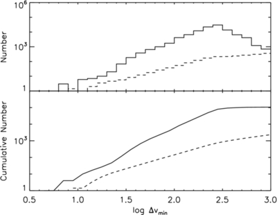
Caption: Figure 9.

Histogram (top panel) and cumulative number (bottom panel) of KBOs vs. log Δ v min for the "base case" collisional family (Section 5.1 and Figure  2). The family is indicated by the solid line, while the square root of the number of background objects is indicated by the dashed line. The family, which barely stood out against the background in Figure  2, clearly dominates the Poisson noise, making family identification possible by removal of the background population.

Other Images in This Article
Copyright and Terms & Conditions