Image Details
 
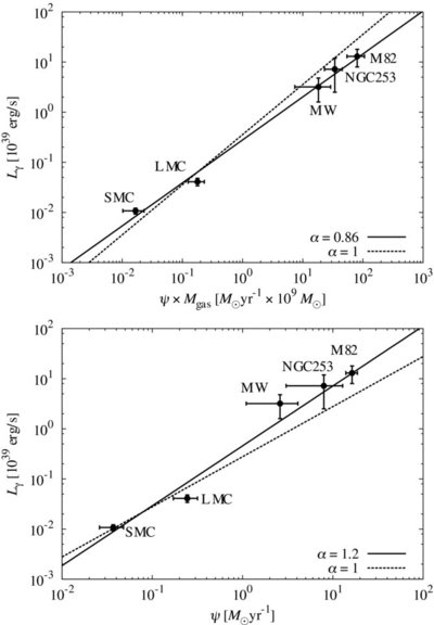
                    Caption: Figure 1.
Top: correlation between the gamma-ray luminosity L γ (0.1–5 GeV) and the product of SFR and gas mass, ψ M gas. The solid line represents the best fit power-law L γ ∝ (ψ M gas) α with α taken as a free parameter. The dashed line represents a linear function fit with a fixed value of α = 1. Bottom: the same as the top panel, but for the correlation between L γ and SFR.
© 2011. The American Astronomical Society. All rights reserved.