Image Details
 
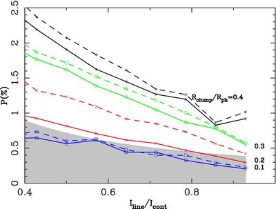
                    Caption: Figure 9.
Results of Monte Carlo simulations of random obscuring spherical clumps in front of a spherical photosphere. The models are
   shown for clump scales of 
   R
   clump/
   R
   , = 0.1 (blue 
   
      
         
             ), 0.2 (red ×), 0.3 (green
         
         
      
   ), 0.2 (red ×), 0.3 (green 
    ), and 0.4 (black *). Solid lines are for simulations with 
   k = 0.5, while dashed lines indicate simulations with 
   k = 0. The shaded area indicates the permitted values of line polarization, according to Equation (3), for a continuum polarization
   of 0.36% determined by Chornock et al. (2006). Lower values of the continuum polarization (0.17% determined here) place even
   stricter upper limits on the scale of clumping. Minor fluctuations in the curves are due to the statistical nature of the
   Monte Carlo simulations; except for the case of 
   R
   clump/
   R
   ph = 0.4 for 
   I
   line/
   I
   cont>0.8, where the results are dominated by the finite size of the "pixels" that compose the model photosphere.
), and 0.4 (black *). Solid lines are for simulations with 
   k = 0.5, while dashed lines indicate simulations with 
   k = 0. The shaded area indicates the permitted values of line polarization, according to Equation (3), for a continuum polarization
   of 0.36% determined by Chornock et al. (2006). Lower values of the continuum polarization (0.17% determined here) place even
   stricter upper limits on the scale of clumping. Minor fluctuations in the curves are due to the statistical nature of the
   Monte Carlo simulations; except for the case of 
   R
   clump/
   R
   ph = 0.4 for 
   I
   line/
   I
   cont>0.8, where the results are dominated by the finite size of the "pixels" that compose the model photosphere.
© 2010. The American Astronomical Society. All rights reserved.