Image Details

Choose export citation format:

The Perkins INfrared Exosatellite Survey (PINES) I. Survey Overview, Reduction Pipeline, and Early Results

  • Authors: Patrick Tamburo, Philip S. Muirhead, Allison M. McCarthy, Murdock Hart, David Gracia, Johanna M. Vos, Daniella C. Bardalez Gagliuffi, Jacqueline Faherty, Christopher Theissen, Eric Agol, Julie N. Skinner, Sheila Sagear

Patrick Tamburo et al 2022 The Astronomical Journal 163 .

  • Provider: AAS Journals

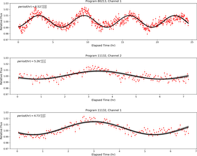
Caption: Figure 13.

Spitzer light curves for the variable brown dwarf SIMP 1629+0335. The top panel displays the data taken in Channel 1 (3.6 μm) in 2012. The middle and bottom panels display the data from Channel 2 (4.5 μm) and Channel 1 (3.6 μm), respectively, taken in 2015. The corrected light curves are shown in red, with 50 random draws from our MCMC fit shown in black. The measured rotation period is significantly different in all three epochs.

Other Images in This Article

Show More

Copyright and Terms & Conditions

Additional terms of reuse