Image Details
 
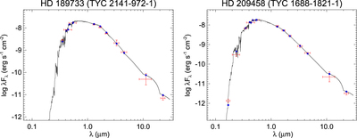
                    Caption: Figure 2.
SED fits for the stars HD 189733 (left) and HD 209458 (right), for which interferometric angular radii have been reported (Boyajian et al. 2015) as a check on the Θ and ﹩{F}_{\mathrm{bol}}﹩ values derived in this work. The two SED fits have ﹩{\chi }_{\nu }^{2}﹩ of 1.65 and 1.67, respectively. The Θ and ﹩{F}_{\mathrm{bol}}﹩ comparisons are presented in Table 1. Symbols and colors are as in Figure 14.
© 2017. The American Astronomical Society. All rights reserved.