Image Details

Choose export citation format:

On Universal Halos and the Radial Orbit Instability

  • Authors: Joseph D. MacMillan, Lawrence M. Widrow, and Richard N. Henriksen

MacMillan, Widrow, & Henriksen 2006 The Astrophysical Journal 653 43.

  • Provider: AAS Journals

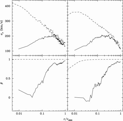
Caption: Fig. 6.

Velocity dispersions, in radial bins, for the final halos. Shown is the radial velocity dispersion σr (top) and the velocity anisotropy parameter ﹩\beta =1-\sigma ^{2}_{t}/ \sigma ^{2}_{r}﹩ (bottom). The halos with constrained radial accelerations are the upper velocity dispersions in the top panels and have ﹩\beta \sim 1﹩ in the bottom panels.

Other Images in This Article

Show More

Copyright and Terms & Conditions