Image Details

Choose export citation format:

The Fundamental Scaling Relations of Elliptical Galaxies

  • Authors: Brant Robertson, Thomas J. Cox, Lars Hernquist, Marijn Franx, Philip F. Hopkins, Paul Martini, and Volker Springel

Robertson et al. 2006 The Astrophysical Journal 641 21.

  • Provider: AAS Journals

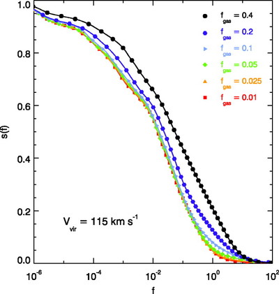
Caption: Fig. 12.

Cumulative coarse‐grained distribution function ﹩s( \overline{f}) ﹩ of a remnant from the equal‐mass merger of progenitors with ﹩V_{\mathrm{vir}\,}=115﹩ km s−1 as a function of progenitor gas fraction. Shown is the fraction of remnant stellar mass with phase‐space densities greater than ﹩\overline{f}﹩ for mergers with ﹩f_{\mathrm{gas}\,}=0.01﹩ (red line), ﹩f_{\mathrm{gas}\,}=0.025﹩ (orange line), ﹩f_{\mathrm{gas}\,}=0.05﹩ (green line), ﹩f_{\mathrm{gas}\,}=0.1﹩ (blue line), ﹩f_{\mathrm{gas}\,}=0.2﹩ (purple line), and ﹩f_{\mathrm{gas}\,}=0.4﹩ (black line). For gas fractions ﹩f_{\mathrm{gas}\,}< 0.2﹩, the phase‐space density distributions of the remnants do not change appreciably; the binding energies of the stars do not increase greatly relative to those in a collisionless merger as dissipation is not efficient at altering the structure of the galaxy. For gas fraction ﹩f_{\mathrm{gas}\,}> 0.2﹩, the phase‐space density distribution of the remnant shifts toward higher values and more strongly‐bound energy hypersurfaces. For low‐mass ellipticals the phase‐space density of remnants is then increased in gas‐rich ﹩f_{\mathrm{gas}\,}> 30\% ﹩ mergers where dissipation is important for the remnant properties.

Other Images in This Article

Show More

Copyright and Terms & Conditions