Image Details

Choose export citation format:

Microlensing of Circumstellar Disks

  • Authors: Zheng Zheng and Brice Ménard

Zheng & Ménard 2005 The Astrophysical Journal 635 599.

  • Provider: AAS Journals

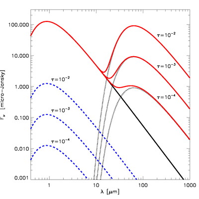
Caption: Fig. 1.

Spectral energy distribution of a star with ﹩T=5800﹩ K surrounded by a dusty debris disk with ﹩T=80﹩ K. This system is put at the Galactic center (distance ﹩D=8﹩ kpc). The reflected (dashed curves) and reemitted (dotted curves) lights from the disk are calculated for three values of the disk‐to‐star luminosity ratio: ﹩\tau =10^{-2}﹩, 10−3, and 10−4.

Other Images in This Article
Copyright and Terms & Conditions