Image Details

Choose export citation format:

Quantitative Signatures of Galactic Superwinds on Lyα Clouds and Metal‐Line Systems

  • Authors: Renyue Cen, Kentaro Nagamine, and Jeremiah P. Ostriker

Cen, Nagamine, & Ostriker 2005 The Astrophysical Journal 635 86.

  • Provider: AAS Journals

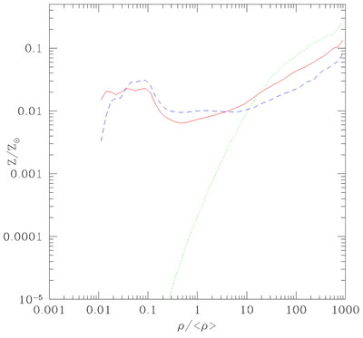
Caption: Fig. 8.

Mean metallicity as a function of gas density for three runs: fiducial with realistic GSWs (run 1: N432L11M; solid curve), high GSWs (run 3: N432L11H; dashed curve), and no GSWs (run 2: N432L11L, dotted curve) at ﹩z=3﹩.

Other Images in This Article

Show More

Copyright and Terms & Conditions