Image Details

Choose export citation format:

Quantitative Signatures of Galactic Superwinds on Lyα Clouds and Metal‐Line Systems

  • Authors: Renyue Cen, Kentaro Nagamine, and Jeremiah P. Ostriker

Cen, Nagamine, & Ostriker 2005 The Astrophysical Journal 635 86.

  • Provider: AAS Journals

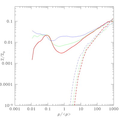
Caption: Fig. 16.

Mean metallicity (solid curves) and median metallicity (dashed curves) as a function of Lyα cloud column density at redshift ﹩z=2﹩, 3, 4 (thick to thin lines) for runs 1 (N432L11M; left) and 2 (N432L11L; right).

Other Images in This Article

Show More

Copyright and Terms & Conditions