Image Details

Choose export citation format:

Quantitative Signatures of Galactic Superwinds on Lyα Clouds and Metal‐Line Systems

  • Authors: Renyue Cen, Kentaro Nagamine, and Jeremiah P. Ostriker

Cen, Nagamine, & Ostriker 2005 The Astrophysical Journal 635 86.

  • Provider: AAS Journals

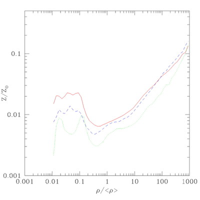
Caption: Fig. 14.

Mean metallicity as a function of gas density for three runs: fiducial run with realistic GSWs (run 1: N432L11M; solid curve), reduced small‐scale power run at 8 cells (run 6: N432L11M8; dashed curve), and reduced small‐scale power run at 32 cells (run 7: N432L11M32; dotted curve).

Other Images in This Article

Show More

Copyright and Terms & Conditions