Image Details

Choose export citation format:

Quantitative Signatures of Galactic Superwinds on Lyα Clouds and Metal‐Line Systems

  • Authors: Renyue Cen, Kentaro Nagamine, and Jeremiah P. Ostriker

Cen, Nagamine, & Ostriker 2005 The Astrophysical Journal 635 86.

  • Provider: AAS Journals

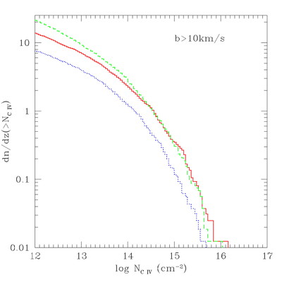
Caption: Fig. 12.

Left: Number of C IV lines with Doppler parameter greater than 10 km s−1 per unit redshift for the three runs. Solid curve: N432L11M; dotted curve: N432L11L; dashed curve: N432L11H. Right: Corresponding cases for Doppler parameter greater than 20 km s−1.

Other Images in This Article

Show More

Copyright and Terms & Conditions