Image Details
 
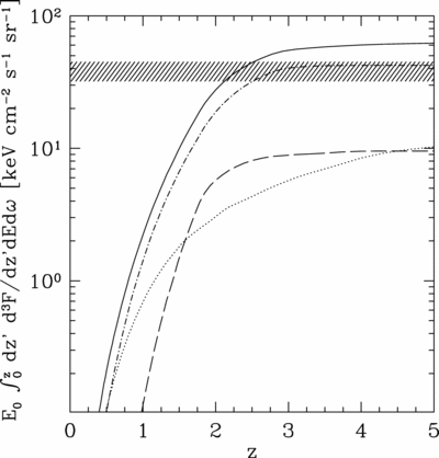
                    Caption: Fig. 2.
Cumulative contribution (multiplied by the energy ﹩E_{0}﹩) to the predicted CXB at ﹩E_{0}=30﹩ keV, yielded by sources at progressively larger redshifts. The solid line shows the total CXB produced by sources with all luminosities. The other lines show the contributions of AGNs with luminosities LX (in units of ergs s−1, in the band 2–10 keV) in the ranges ﹩42< \mathrm{log}\,L_{\mathrm{X}\,}< 43.5﹩ (dotted line), ﹩43.5< \mathrm{log}\,L_{\mathrm{X}\,}< 44.5﹩ (dot‐dashed line), and ﹩44.5< \mathrm{log}\,L_{\mathrm{X}\,}﹩ (long‐dashed line). The shaded strip is the value 43 keV cm﹩^{-2}﹩ s﹩^{-1}﹩ sr﹩^{-1}﹩ measured by HEAO 1 A‐2 (Gruber et al. 1999).
© 2004. The American Astronomical Society. All rights reserved. Printed in U.S.A.