Image Details
 
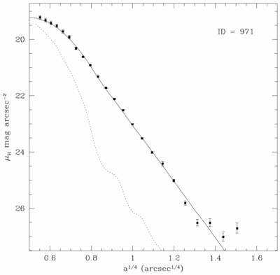
                    Caption: Fig. 7.
Examples of the quality of r1/4 law fits to the H160 surface brightness profiles. In each plot, the object profile is represented by the solid square points with 1 σ error bars, the F160W PSF by a dotted line, and the best fitting r1/4 law, convolved with the PSF, by a solid line. The object identification number, corresponding to the entries in Table 1, is shown in each panel. (a) A good fit is shown; (b) an example of a fair fit; (c) an example of a poor fit.
© 2004. The American Astronomical Society. All rights reserved. Printed in U.S.A.