Image Details

Choose export citation format:

The Contribution of Extreme Ultraviolet from Clusters of Galaxies to the Cosmic Ionizing Background

  • Authors: Scott W. Randall and Craig L. Sarazin

Randall & Sarazin 2001 The Astrophysical Journal 548 60.

  • Provider: AAS Journals

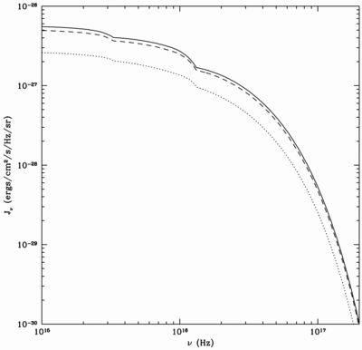
Caption: Fig. 5.

Mean specific intensity of the EUV background predicted by models including IGM absorption by H I and He II. The notation is the same as in Fig. 4.

Other Images in This Article
Copyright and Terms & Conditions