Image Details

Choose export citation format:

The Effect of Colored Noise on Doppler Measurements for Planetary Geodesy: Application to the VERITAS Gravity Science Experiment

  • Authors: Flavia Giuliani, Fabrizio De Marchi, Daniele Durante, Gael Cascioli, Luciano Iess, Erwan Mazarico, Suzanne Smrekar

Flavia Giuliani et al 2026 The Planetary Science Journal 7 .

  • Provider: AAS Journals

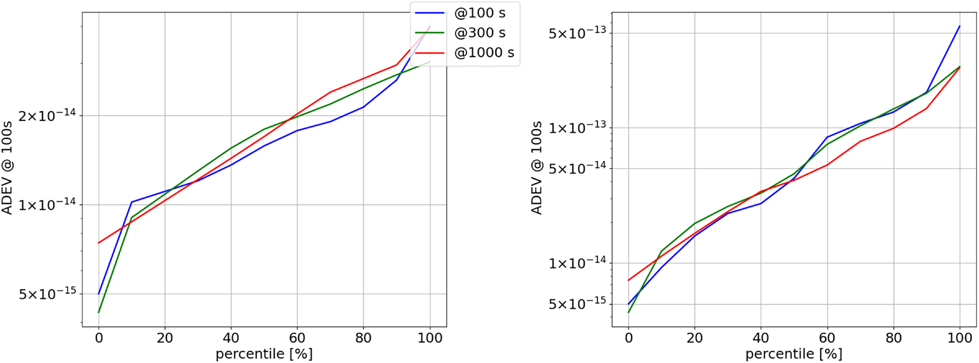
Caption: Figure 14.

Wet troposphere ADEV (Cassini data). Left: winter. Right: summer. Data correspond to 100 s (blue), 300 s (green), and 1000 s (red) integration time. All data have been rescaled to 100 s by the ﹩{\left(\tau /100\right)}^{-1/2}﹩.

Other Images in This Article

Show More

Copyright and Terms & Conditions

Additional terms of reuse