Image Details

Choose export citation format:

Stellar Chromospheric Activity Database of Solar-like Stars Based on the LAMOST Low-resolution Spectroscopic Survey. III. Calibrating the Chromospheric Basal Flux and the Connection to Stellar Rotation

  • Authors: Weitao Zhang, Han He, Jun Zhang

Weitao Zhang et al 2026 The Astrophysical Journal Supplement Series 283 .

  • Provider: AAS Journals

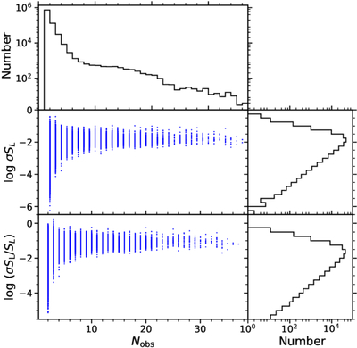
Caption: Figure 1.

Distribution of ﹩\mathrm{log}\,\sigma {S}_{L}﹩ and ﹩\mathrm{log}\,(\sigma {S}_{L}/{S}_{L})﹩ versus the number of observations. The top panel presents the histogram of observation counts, while the right panels display the corresponding distributions of ﹩\mathrm{log}\,\sigma {S}_{L}﹩ (top right) and ﹩\mathrm{log}\,(\sigma {S}_{L}/{S}_{L})﹩ (bottom right).

Other Images in This Article

Show More

Copyright and Terms & Conditions

Additional terms of reuse