Image Details

Choose export citation format:

Development of a High-order Flux Reconstruction Framework for Solar and Astrophysical Magnetohydrodynamics: Methods and Benchmarks

  • Authors: Rayan Dhib, Firas Ben Ameur, Matteo Parsani, Andrea Lani, Stefaan Poedts

Rayan Dhib et al 2026 The Astrophysical Journal Supplement Series 283 .

  • Provider: AAS Journals

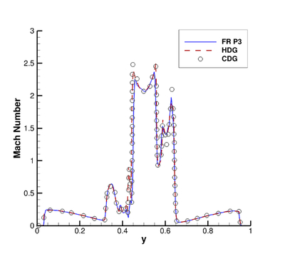
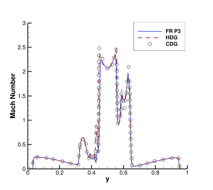
Caption: Figure 6.

Comparison of the obtained FR P3 result with CDG (S. Yakovlev et al. 2013) and HDG (C. Ciucă et al. 2020) solutions, showing line cut at x = 0.413 and t = 0.295.

Other Images in This Article

Show More

Copyright and Terms & Conditions

Additional terms of reuse